English 中文 旧网站

437bwin必赢国际官网在浅地幔压力估算方面取得重要进展

文章来源: 发布时间:2023-09-30 21:27 作者:李哲萱 浏览量:5290

长期以来,精细刻画岩石圈地幔的垂向结构一直是固体地球科学领域的前沿问题,也是探讨地幔性质演化和深部动力过程的基础。在岩石学-地球化学领域,精确估计尖晶石相橄榄岩的来源深度(平衡压力)一直受到多种因素阻碍,比如现有的地质压力计具有较高的温度依赖性,以及这些压力计的标定涉及到快速扩散、易于重置的元素,导致相关的压力估计精度较低、误差较大。

针对上述问题,437bwin必赢国际官网“岩石学与地幔地球化学学科团队”主导的科研工作,以中国东北蛟河地区新生代玄武岩中的橄榄岩捕虏体为研究对象,对橄榄石和斜方辉石开展了原位高精度的微量元素分析,成功识别了方辉橄榄岩和二辉橄榄岩的成因差异,详细揭示了它们所经历的热历史和氧化还原状态上的丰富信息,特别是在精准限定尖晶石相橄榄岩样品的来源深度方面取得了重要进展。

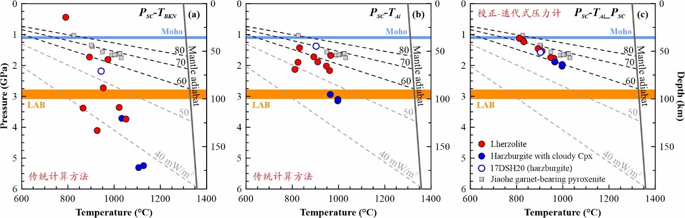
使用传统的地质温压计方法,有相当比例的样品来源深度估计值超出了岩石圈地幔的合理范围(图1a-b),表明原有常规的处理方法存在明显缺陷。鉴于橄榄石的Ca对温度-压力都很敏感,但对瞬态热偏移的抵抗不如橄榄石的Al稳健;另一方面,橄榄石的Al只是温度的函数,与压力无关,因此可以将样品的橄榄石Ca温度校正到对应的橄榄石Al温度。据此提出了橄榄石Ca含量的经验校正方案,并构建了新的组合迭代式的橄榄岩压力计,新方法的计算结果展示在图1c。

图1. 使用不同的地质温度计-压力计组合计算的平衡温度和压力关系图

注: PSC, 橄榄石Ca压力计, 同时也是温度的函数; (a) TBKN, 二辉石Fe-Mg温度, 对压力也比较敏感, 此处假设压力为1.5 GPa用于计算温度; (b) TAl, 橄榄石Al温度, 在压力为2.4 GPa以内的条件下, 与压力无关; (c) 利用橄榄石的Al温度计和Ca温度计, 并迭代压力参数对橄榄石Ca含量进行校正后, 计算得到相应的压力

相比之下,使用新方法迭代计算获得的温压条件与研究区的地球物理观测及其他地质记录更加吻合(图1c),比如:(1) 所有样品都位于岩石圈地幔的深度范围;(2) 与研究区石榴石辉石岩捕虏体的温压结果高度相似;(3) 与中国东部70–80 mW/m2的地表热流值比较接近;(4) 与深部样品相比,接近莫霍面的浅部样品具有更高的表观地温梯度,这与捕虏体作为地壳热流函数模拟得到的古地温梯度特征一致。这种校正方案在一定程度上消除了部分熔融之后、固相线之下的再平衡效应,故而能较准确地约束尖晶石橄榄岩捕虏体的来源深度。

本项工作表明,尖晶石橄榄岩中所有硅酸盐矿物的高精度微量元素在获取捕虏体来源深度,以及阐明大陆岩石圈的化学、热状态和氧化还原状态等演化方面具有高度的实用性。该案例研究不仅拓展了贫不相容元素矿物中微量元素在地球化学模拟和地幔动力学重建中的应用,还为缺少石榴石的地幔岩石提供了可行的深度来源估计方案,因而为深入研究岩石圈地幔的组成、结构及演化提供了新的途径。

该成果发表在Nature Index期刊Journal of Geophysical Research: Solid Earth上,西北大学地质学系和大陆动力学国家重点实验室为第一单位和通讯单位。近期出站的博士后林阿兵(现就职于兰州大学)为论文第一作者兼通讯,合作者包括张宏福院士、中国地质大学(武汉)的郑建平教授、德国法兰克福大学的Sonja Aulbach研究员、Alan B. Woodland教授和Laura Uenver-Thiele博士。该工作得到国家自然科学基金项目(91962212、42103039、41930215和41688103)的资助。

论文信息:Lin, A. B., Aulbach, S., Zheng, J. P., Uenver-Thiele, L., Woodland, A. B., & Zhang, H. F. (2023). Petrogenesis, sampling depth, thermal and redox evolution of spinel peridotite xenoliths from Jiaohe, NE China: Insights from trace elements in all rock-forming silicate minerals. Journal of Geophysical Research: Solid Earth, 128(10), e2023JB026777.

论文链接:https://doi.org/10.1029/2023JB026777