锆石辐射损伤年代学方法作为一种新兴的低温热年代学测试技术(封闭温度约为230 ±

图1 锆石原位四重测年时间–温度演化曲线示意图(a)和母岩中锆石经历结晶、剥露/冷却、剥蚀、搬运及沉积演化示意图(b, 据Bernet and Garver, 2005改)
不同元素(如P、Ti、Dy、Th、U和Hf)在进入到锆石晶格中会取代Zr4+和Si4+,影响锆石晶格Si-O四面体的振动(拉曼半高宽),进而会影响锆石辐射损伤年龄的测试精度。自然界中,由于大部分天然锆石均累积了辐射损伤、且包含多种微量元素,难以确定各元素与锆石拉曼半高宽(ν3)的定量关系。为了探讨化学组分对锆石辐射损伤测年精度的影响,采用氧化钼-钼酸锂熔体法(氧化锆(ZrO2)和硅酸锂(Li2SiO3)为原料、氧化钼(MoO3)和钼酸锂(Li2MoO4)为熔剂),在马弗炉高温条件下(950–

图2 部分含不同元素及含量的合成锆石实体照片和背散射图像(c, 数字代表LA–ICP–MS所测邻近点位U含量)
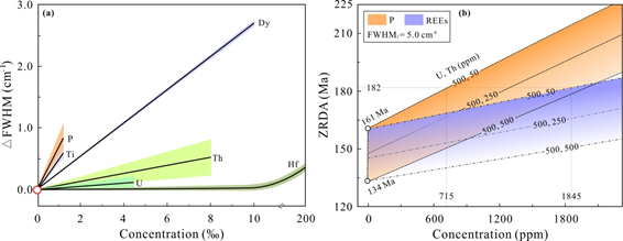
测试结果显示,锆石拉曼半高宽(ν3)与P、Ti、Dy、Th、U和Hf含量呈正线性相关,影响程度依次减小,且Hf含量小于1wt%时,对锆石拉曼半高宽(ν3)不会产生影响。结合天然锆石中各元素的含量变化范围,基于R语言数理统计分析,锆石中各元素与拉曼半高宽(ν3)的定量关系可描述为:FWHM(cm−1)=(7.0 ± 0.2)·10–4·P(ppm)+(4.9 ± 0.1)·10–4·Ti(ppm)+(2.71 ± 0.01)·10–4·Dy(ppm)+(2.6 ± 0.8)·10–5·U(ppm)+(6.5 ± 0.6)·10–5·Th(ppm)+ 1.6(R2 =
0.99, n = 620)。以P和Dy为例,假设锆石的拉曼半高宽(ν3)初始值为
图3 不同元素含量与锆石拉曼半高宽变化量关系图(a)及P和REEs含量与锆石辐射损伤年龄变化趋势图(b)
锆石所累积的辐射损伤不仅可用于低温年龄的计算(ZRDA),而且会影响LA–ICP–MS和SIMS
U–Pb同位素测年的精确度。待测锆石与标准锆石所保留的辐射损伤(α通量)差异会导致U、Pb同位素剥蚀坑内分馏行为和剥蚀速率的不同(α通量基体效应),从而引起待测锆石的年龄存有较大偏差。已有研究认为,对待测锆石进行热退火处理(
基于上述科学问题,本研究依据辐射损伤锆石会发生热退火这一特性,以斯里兰卡锆石为研究对象,系统地对其开展等时(6 h,

图4 斯里兰卡锆石等时(a)等温退火(b)拉曼光谱值变化图及两阶段热退火趋势图(c, d)
对经历等时(SL–3)、等温(SL–2)退火及未经历热退火(SL–1)的斯里兰卡锆石进行SIMS U–Pb年龄的测定,年龄结果分别为(图5):572.4 ± 4.4 Ma(2σ, MSWD = 0.08)、575.0 ± 4.5 Ma(2σ, MSWD = 0.57)和575.3 ± 4.3 Ma(2σ, MSWD = 0.30),进而表明高温热退火处理可为改善标样锆石SIMS U–Pb年龄测定的均匀性提供新的思路,从而获得更为精确的待测锆石U–Pb年龄结果。

图5 未经历热退火(SL–1)、等温(SL–2)及等时退火(SL–3)斯里兰卡锆石SIMS U–Pb年龄谐和图及所对应的206Pb/238U加权平均年龄图
同时,对国际标样Plešovice和清湖锆石进行高温热退火(
相关成果发表在国际期刊《Journal of Analytical Atomic Spectrometry》和《Geoscience Frontiers》及《地质论评》上。西北大学地质学系和大陆动力学国家重点实验室为第一单位和通讯单位,437bwin必赢国际官网大陆构造研究团队
文章信息:Fan, M.P., Liu, X.M., Sun, S.S., Dong, Y.P., Bao,
Zhian, 2024. Optimization for standard zircon U-Pb dating: insight from
high-temperature thermal annealing. Journal of Analytical Atomic Spectrometry,
39: 754–766. https://doi.org/10.1039/D3JA00407D.
Fan, M.P., Liu,
X.M., Sun, S.S., Dong, Y.P., Ayers, J.C., Santosh, M., 2023. Effect of chemical
composition on zircon radiation damage dating: Implications for low-temperature
thermochronology. Geoscience Frontiers, 14(6), 101675. https://doi.org/10.1016/j.gsf.2023.101675.
范明璞, 柳小明, 孙圣思, 2023. 锆石辐射损伤测年方法研究进展与应用. 地质论评, 69(01): 339–356. https://doi.10.16509/j.georeview.2022.10.085.